広報発信
各詳細は本ページよりご覧ください。
- 広報発信
- KECニュースレターEMC
- KEC情報誌
- よもやま話
2か月毎の定期版の配信に加え、不定期にセミナー・講習会等の各種案内を配信しています。
ご登録いただいた方に、電子メールで無償配信いたします。(日本国内に限る)
バックナンバーはKEC会員ページにて閲覧可能です。
1.特別寄稿 放射妨害波測定用電源ケーブル終端装置VHF-LISN規格化に至るまで
2.EMC関連新規格発行リスト
2.1 IEC 新規格
2.2 CENELEC 新規格
2.3 AS/NZS 新規格
2.4 JIS 新規格
3.地域別ニュース
3.1 欧州
3.1.1 EU 委員会:バッテリーのデューデリジェンスに関する経済事業者の義務に関する規則の延期を行う改訂官報
3.1.2 EU 委員会:低電圧指令に係る電気自動車用フラットフレキシブルケーブルおよび充電ケーブルの統一規格に関する実施決定(EU) 2023/2723の改訂
3.1.3 EU 委員会:国連規則第34号 – 火災の危険防止に関する車両承認に関する統一規定
3.1.4 EU 委員会:国連規則に係る欧州議会および理事会規則(EU)2019/2144の改訂
3.1.5 EU 委員会:無線機器指令に係る無線デジタルビデオリンク、衛星地球局およびシステム、基地局、短距離機器の統一規格に関する実施決定(EU) 2022/2191を改正
3.1.6 英国 PackUK:包装に関する拡大生産者責任に対するガイダンスを更新公開
3.1.7 英国:電化製品廃棄物のリサイクルにオンラインマーケットプレイスが負担する新しいシステムを導入
3.1.8 英国:低電圧機器規則2016 (S.I. 2016/1101)に係る参照規格の改訂案 Notice 0120/25を公開
3.1.9 英国:無線機器規則2017 (S.I. 2017/1206) に係る参照規格の改訂案 Notice 0122/25を公開
3.1.10 英国:機械供給(安全)規則2008 (S.I. 2008/1597) に係る参照規格の改訂案 Notice 0121/25を公開
3.1.11 英国:建設製品( 改正等 )規則2019 (S.I. 2019/46 ) に係る参照規格の改訂案 Notice 0123/25を公開
3.2 北米および南米
3.2.1 FCC:AC電源線伝導妨害波に関するFAQを更新
3.2.2 FCC, OET:装置適合性評価(ECR)に関するガイダンスを更新
3.2.3 FCC:米国の機器認可プロセスに関する新しい提案規則の訂正
3.2.4 FCC:FCC 25-27で採択したTCB、試験所、試験所認定機関のFCCへの所有権情報に関するガイダンスを公開
3.2.5 FCC:補聴器対応端末の規格に関する委員会規則の改訂
3.2.6 カナダISED:固定サービスによる周波数帯域21.2~21.8GHzおよび22.4~23.0GHzの使用に関する政策、技術およびライセンスの枠組みに関する協議開始
3.2.7 カナダISED:27.41~960MHzの周波数帯域で動作する陸上移動および固定機器の認証要件を規定したRSS-119,Issue12の改訂2発行
3.2.8 カナダISED:比吸収率(SAR)適合性評価に関する規格RSS-102.SAR.SIM(Issue 1),RSS-102.SAR.MEAS (Issue 2)の発行
3.2.9 カナダISED:5895~5925MHz帯における高度道路交通システムの車載機器に関する規格案RSS-252, Issue3について意見募集
3.2.10 カナダISED:220~222MHz帯で運用する陸上移動通信および固定通信サービスの技術要求事項に関する規格案について意見募集
3.2.11 カナダISED:960MHzを超える周波数帯域で動作する固定無線システムの一般的な技術要求事項の改訂規格案を公開
3.2.12 カナダISED:無線スペクトルへのアクセスに関する統一規格としてETSI EN301 893 V2.2.1 (2024-11)-5GHz WAS/RLANを採用提案
3.3 アジアおよびその他
3.3.1 中国CQC:モバイル電源、リチウムイオン電池及び電池パックの強制製品認証に関する実施規則・細目の改訂に関するお知らせ
3.3.2 中国CQC:据置型電子機器用リチウムイオン電池及び電池パックの安全性認証実施規則の改正に関する通知
3.3.3 中国CQC:家庭用電気機器及びこれに類する電気機器の性能証明規則の改正に関するお知らせ
3.3.4 中国CQC:車両動力電池の認証基準変更に関するお知らせ
3.3.5 中国:中国国家標準公告2025第17 – 22号を公開
3.3.6 韓国 RRA:放送通信規則の制定・改正・廃止に関する意見募集
3.3.7 韓国 RRA:放送通信機器資材等の適合性評価に関する告示の一部改正
3.3.8 韓国 RRA:情報通信標準の制定・改正・廃止に関連する予告通知
3.3.9 韓国 KSC:EMC および 安全関連規格の制定告示
3.4 国内
3.4.1 総務省:ローカル5Gの自己土地利用等に係る制度整備
3.4.2 総務省:電磁波の健康影響に関する講演会の開催
3.4.3 経済産業省:製造・輸入事業者向け – 電気用品安全法 – 法令業務実施手引書の公開
3.4.4 経済産業省:電気用品の技術上の基準を定める省令の解釈の一部(整合規格の採用等)を改正
3.4.5 総務省:高度MCA無線通信サービス終了後の900 MHz帯を使用する新たな無線利用に係る調査等の実施
3.4.6 総務省:令和7年度版周波数再編アクションプラン(案) に対する意見募集
4.IEC/CISPR 規格審議動向
1) CISPR/A/1472/DC:測定受信機の周波数帯域を40GHzに拡張する提案文書
2) CIS/A/1469/CDV:CISPR 16-2-3,Ed.4.2に18GHz~40GHzの周波数帯域に関する要件を追加する改訂案
3) CIS/A/1477/CD : CISPR 16-1-5に計算可能なループアンテナを導入する提案文書
他
1.特別寄稿 CISPRの「なぜ?」 – その1
2.EMC関連新規格発行リスト
2.1 IEC 新規格
2.2 CENELEC 新規格
2.3 AS/NZS 新規格
2.4 JIS 新規格
3.地域別ニュース
3.1 欧州
3.1.1 EU 委員会 : 無線スペクトルの調和使用に関する技術条件の更新
3.1.2 EU 委員会 : 国連規則第125号 – 自動車運転者の前方視野に関する自動車の認可に関する統一規定
3.1.3 EU 理事会 : 自動車のCO2排出量に関する規制の具体的な改正案を採択
3.1.4 EU理事会 : 欧州のサイバー危機とインシデントをより適切に管理するための計画を採択
3.1.5 EU委員会 : 農業用および林業用車両のブレーキ要件および車両機能安全要件に関する委任規則を改訂
3.1.6 EU理事会 : EU規則の簡素化と電池分野における欧州委員会の提案を承認
3.1.7 EU委員会 : 無線充電、電気道路システム、車両対グリッド通信、道路輸送車両の水素供給に関する基準に関する規則を改訂
3.1.8 EU 委員会 : 廃棄電池のリサイクル効率と材料回収率の計算および検証方法、ならびに文書化の形式を規定するEU官報を公開
3.1.9 EU 委員会 : 国連規則第131号 – 車両用の先進緊急ブレーキシステムに関する自動車の承認に関する統一規定
3.1.10 EU委員会 : 低電圧指令に係る実施決定(EU) 2023/2723の改訂
3.1.11 英国 : 自動運転車法2024の施行に向けた作業の最新情報
3.1.12 英国 : 包装に関する拡大生産者責任の発表
3.1.13 英国 : 無線機器規則2017に係る無線機器規格の改訂通知
3.2 北米および南米
3.2.1 FCC : 米国の機器認可プロセスから国家安全保障にリスクをもたらす信頼できない主体による所有、指示、または管理の対象とならないようにするための新しい規則を採用
3.2.2 FCC, OET : データ参照による試験削減に関する旧ガイダンスの移行期間を修正
3.2.3 FCC, OET : Part 15, Subpart E の下で運用する U-NII 6 GHz 装置の認可に関するガイダンスを更新
3.2.4 FCC : 通信業界における外国の敵対勢力の所有権を調査
3.2.5 FCC : 宇宙から高速インターネットを提供するため20,000 MHz以上の周波数帯域を解放する手続きを開始
3.2.6 カナダISED : 携帯電話機器メーカー向け補聴器適合性要求事項および音量制御の発効を延期
3.2.7 カナダISED : 27.5 – 28.35 GHz 帯域で動作する汎用ブロードバンド機器の規格発行
3.3 アジアおよびその他
3.3.1 中国CQC : 電池駆動工具に関する新しい規格および認証規則の実施
3.3.2 中国 : 中国国家標準公告2025第11 – 15号を公開
3.3.3 韓国 RRA : 簡易無線局・宇宙局・地球局の無線設備及び電波探知用無線設備などその他の業務用無線設備の技術基準5-2 の改訂通知
3.3.4 韓国 RRA : 電磁波適合性試験方法一部改正(案)行政予告
3.3.5 韓国 RRA : 無線設備適合性評価試験方法(KSX3123) の一部改正施行
3.3.6 韓国 RRA : 電磁波吸収率測定基準の一部改正行政予告
3.3.7 韓国 RRA : 電磁波適合性試験方法の一部改正告示
3.3.8 台湾 BSMI : 国家規格の確認および公示(規格公告114、第10号)
3.4 国内
3.4.1 総務省 : 第5世代移動通信システムの技術的条件(26GHz帯/40GHz帯)
3.4.2 総務省 : 5.9 GHz帯V2X通信システムに係る実験試験局の免許交付手続の制度整備
3.4.3 総務省 : インマルサットIoT型の導入に向けた制度整備
3.4.4 総務省 : 医療機関において安心・安全に電波を利用するための説明会開催
3.4.5 経済産業省 : 産業サイバーセキュリティ研究会を開催
3.4.6 経済産業省 : 令和6年度ものづくり基盤技術の振興施策(2025年版ものづくり白書 )
を公開
3.4.7 経済産業省 : サイバーセキュリティ人材の育成促進に向けた検討会最終取りまとめを公表
3.4.8 総務省 : 令和6年度無線設備試買テスト取りまとめの公表
3.4.9 経済産業省 : 電気用品の技術上の基準を定める省令の解釈についての一部を改正する通達(案)に対する意見募集
3.4.10 経済産業省 : 電気用品安全法の技術基準解釈見直しアクションシートの公表
3.4.11 電波環境協議会 : 医用テレメータの電波管理実践ガイドの公表
3.4.12 電波環境協議会 : 2024年度 “医療機関における電波利用推進協議会” 公表資料を公開
4.IEC/CISPR 規格審議動向
1) CISPR/A/1466/FDIS : ケーブルの新しい終端治具として、VHF-LISN を導入。
2) 77B/901/CD : IEC 61000-4-4 Ed.4 に対する草案文書。
他
1. 特別寄稿 ペースメーカ等医療機器のEMC
2. EMC関連新規格発行リスト
2.1 IEC 新規格
2.2 CENELEC 新規格
2.3 AS/NZS 新規格
2.4 JIS 新規格
3. 地域別ニュース
3.1 欧州
3.1.1 EU 委員会 : 直接販売機能を備えた冷蔵機器の統一規格に関する委員会実施決定を官報で公開
3.1.2 EU 委員会 : 欧州標準化のための欧州連合年間作業計画
3.1.3 EU 委員会 : 875/917 MHz周波数帯域内の短距離機器の統一技術条件の更新に関する実施決定を改訂
3.1.4 EU 理事会 : マイクロプラスチック汚染を削減するための新しい規則に合意
3.1.5 EU委員会 : 無線機器指令に係る整合規格の改訂に関する官報を公開
3.1.6 EU委員会 : 電池関連廃棄物に関する廃棄物リストの更新に関する決定の改訂に係る委員会委任決定
3.1.7 英国 : 企業にリサイクルと廃棄物の分別を義務付ける新規制
3.1.8 英国 : 包装に関する拡大生産者責任リサイクル可能性評価方法の更新版を公開
3.2 北米および南米
3.2.1 FCC : GPSを補完する商用技術の調査を開始
3.2.2 FCC, OET : FCC規則のもとで運用するレーダ装置の装置認可に関するKDBガイダンスを更新
3.2.3 FCC, OET : 単一送信機で複数の出力を持つ機器や、同一周波数帯で複数の送信機が同時に動作するシステムの出力エミッションの測定ガイダンスを更新公開
3.2.4 FCC, OET : 装置認可の仮承認手続きに関するガイダンスを更新公開
3.2.5 FCC, OET : 携帯機器によるRFばく露制限要求事項と手順に関するガイダンスを再公開
3.2.6 FCC, OET : データ参照による試験削減に関するガイダンスを更新発行
3.2.7 FCC : 衛星ブロードバンドのスペクトル共有の近代化に関する草案
3.2.8 FCC : 6 GHz帯の無免許使用、および3.7 GHzから24 GHzまでの中帯域スペクトルの柔軟な利用の拡大に関する小規模事業者向けガイダンスを公開
3.2.9 FCC : TCB、測定施設、および機器認可プログラムの完全性とセキュリティの促進に関するReport and Order、ならびに規則制定提案の追加通知
3.2.10 FCC, OET : Part 15, Subpart E の下で運用する U-NII 6 GHz 装置の認可に関するガイダンスを更新
3.2.11 カナダISDE : BPR-10, Issu 3 (Draft) – デジタルテレビ(DTV) 放送事業の申請手順および規則案を公開
3.3 アジアおよびその他
3.3.1 中国 CQC : 一般照明用電球形LEDランプの安全性および電磁両立性認証基準の変更に関するお知らせ
3.3.2 中国CQC : 電動自転車のCCC認証実施規則の変更に関するお知らせ
3.3.3 中国 : 中国国家標準公告2025第6 10号を公開
3.3.4 韓国 RRA : 低軌道衛星通信地球局関連試験項目及び試験方法の改正実施を公開
3.3.5 韓国 KSC : EMCおよび安全関連規格の発行
3.4 国内
3.4.1 総務省 : 令和6年度無線設備試買テスト中間報告( 第3次 ) の公表
3.4.2 総務省 : FM放送用周波数帯の上限を95.0 MHzから99.0 MHzに引き上げ
3.4.3 総務省 : 第5世代移動通信システム(5G) の高度化に関する技術的条件の答申
3.4.4 経済産業省 : IoT製品に対するセキュリティラベリング制度 ( JC-STAR ) の運用を開始
3.4.5 経済産業省 : サプライチェーン強化に向けたセキュリティ対策評価制度構築に向けた中間取りまとめを公表
3.4.6 経済産業省 : 地球温暖化対策推進法に基づくJCM指定実施機関JCM Agency ( JCMA ) が発足
3.4.7 経済産業省 : 中小規模の製造事業者向けに工場のセキュリティを確保するための具体的な手順や事例を紹介する解説書を策定
3.4.8 総務省 : 自動運転の社会実装に向けたV2N通信環境及び車両情報連携システム等を用いた実証実験の実施
4. IEC/CISPR 規格審議動向
1) CISPR/F/887/CDV : 電子レンジに対する要求事項を、現行のCISPR 11からCISPR 14-1 への移管に関するCDV文書
2) CISPR/F/888/CDV : 小型ループアンテナによる磁界測定に関するCDV文書
3) CISPR/F/889/CDV : 統計的評価に関する記述 “Annex D (Informative) – Statistical evaluation” の削除を提案したCDV文書
4) CISPR/F/892/CD : CISPR 14-1, Ed.8 の発行に向けた、技術的および編集上の一般的改訂
5) CISPR/D/507/FDIS : Ed.7 の最終草案文書
他
1.特別寄稿 IEC/IEEE 63184, WPTの30 MHz以下の人体ばく露に関する評価方法規格の動向
2.地域別ニュース
2.1 国際
2.1.1 EMC関連IEC新規格
2.2 欧州
2.2.1 CENELEC関連新規格
2.2.2 EU 委員会 : 包装のライフサイクル全体にわたる要求事項に関する官報を発行
2.2.3 EU 委員会 : 規則 (EU) 2021/694 (サイバー連帯法) を改正する官報を公開
2.2.4 EU委員会 : 無線機器指令のサイバーセキュリティに関連する無線機器のカテゴリーおよびクラスに対する整合規格を改訂する委員会実施決定
2.2.5 EU委員会 : 圧力機器指令 2014/68/EU に係る圧力機器の整合規格に関する委員会実施決定を公開
2.2.6 EU委員会 : 国連規則第127号 – 歩行者安全性能に関する自動車の承認に関する統一規定を官報で公開
2.2.7 英国 : 包装および包装廃棄物の管理規制を行う新しい機関PackUK を設立
2.2.8 英国 : AIシステムをサイバー攻撃から保護するための新しいAI実践規範を公開
2.2.9 英国 : PLEV バッテリーおよび充電器に関連する安全上のリスクと危険の原因に関する調査レポートを公開
2.3 北米および南米
2.3.1 FCC : ワイヤレスハンドセット・モデルの100 % 補聴器適合性の達成に関する小規模事業者向けガイドを公開
2.3.2 FCC, WTB/PSHSB : DSRC から CV2X に移行する ITS 認定事業者向けガイダンスを発行
2.3.3 FCC, OET : C-V2X を使用する Part 90またはPart 95の機器認証取得するための管理上および技術上のガイダンスを更新発行
2.3.4 FCC, OET : Part 15, Subpart E の下で運用する U-NII 6 GHz 装置の認可に関するガイダンスを更新発行
2.3.5 FCC, OET : ミリ波装置の適合性評価に関するKDBガイダンスを更新公開
2.3.6 カナダ ISED : 無線通信機器の無線周波数(RF)曝露適合性評価(全周波数帯域)における神経刺激(NS)免除制限に関するガイダンスを公開
2.3.7 カナダ ISED : デジタル伝送システム、周波数ホッピングシステム、および免許不要のローカルエリアネットワークデバイス” の草案規格を公開
2.3.8 カナダ ISED : 衛星による移動体補足通信を提供する宇宙局の技術要求事項の草案規格を公開
2.3.9 カナダ ISED : ミリ波帯における草案規格の技術・運用要求事項に関する意見募集
2.4 アジアおよびその他
2.4.1 中国 CQC : 家庭用機器および類似機器に対するCCC認証新規格の実施に関するお知らせ
2.4.2 中国 : 中国国家標準公告2025第1 5号を公開
2.4.3 韓国 RRA : “受益者位置発信装置(MOB)最小性能基準ガイドライン(案)” 意見照会
2.4.4 韓国 KATS : 電気用品安全基準7種改正(案) の行政予告を公開
2.4.5 韓国 KSC : EMCおよび安全関連規格の発行
2.5 国内
2.5.1 経済産業省 : 電気用品の技術上の基準を定める省令の解釈の一部( 整合規格の採用等 ) を改正
2.5.2 総務省 : 令和6年度無線設備試買テスト中間報告(第2次)の公表
2.5.3 経済産業省 : 情報処理の促進に関する法律及び特別会計に関する法律の一部を改正する法律案
2.5.4 総務省 : ローカル5G導入に関するガイドラインの改定版を公表
2.5.5 経済産業省 : 産業構造審議会 イノベーション・環境分科会 資源循環経済小委員会 取りまとめ
2.5.6 経済産業省 : AIの利用・開発に関する契約チェックリストを公開
2.5.7 経済産業省 : ウラノス・エコシステムにおける産業データ連携推進に向けた技術的な参照文書を公開
2.5.8 総務省 : 5.2 GHz帯無線LANの上空利用に係る制度整備
3. IEC/CISPR 規格審議動向
CISPR/F/884/CD : CISPR 14-1 に APDによる測定方法を導入する提案文書
CISPR/A/1464/RQ : VHF-LISN の導入に関するCISPR/A/1456/Q 意見集計結果
他
1. 特別寄稿
今月号は、トピックス記事はありません。
2. 地域別ニュース
2.1 国際
2.1.1 EMC関連IEC新規格
2.2 欧州
2.2.1 CENELEC関連新規格
2.2.2 EU 委員会 : 一般製品安全規則が2024/12/13 から適用
2.2.3 EU 理事会 : サイバーセキュリティ能力を強化するための新しい法律を採択
2.2.4 EU 理事会 : 会社法におけるデジタルツールとプロセスの利用を拡大する指令を採択
2.2.5 EU 理事会 : 非道路移動機械の承認および市場監視に関する規則を採択
2.2.6 EU 理事会 : 包装および包装廃棄物に関する規制を採択
2.2.7 EU 委員会 : 無線アクセスシステムの実装のための5945 6425 MHz帯の無線スペクトルの調和使用に関する実施決定
2.2.8 EU 委員会 : 国連規則第79号 – ステアリング装置に関する車両の承認に関する統一規定を公開
2.2.9 EU委員会 : 建設製品の販売に関する統一規則
2.2.10 EU委員会 : 国連規則第155号 – サイバーセキュリティおよびサイバーセキュリティ管理システムに関する車両の承認に関する統一規定
2.2.11 EU委員会 : 規則(EU) 2023/1542 における携帯型バッテリおよびLMTバッテリの取り外しおよび交換可能性に関する規定の統一的適用促進する委員会ガイドライン
2.2.12 EU委員会 : 家庭用洗濯機および家庭用洗濯乾燥機の統一基準に関する実施決定(EU)2021/936を改正
2.2.13 英国 : 電動自転車バッテリの法定ガイドライン発行
2.2.14 英国 : 英国原子力庁とブリストル大学、世界初の炭素14ダイヤモンド電池の開発に成功
2.3 北米および南米
2.3.1 FCC : 5.9 [GHz] 帯におけるITSのC-V2X技術への移行提案規則を公開
2.3.2 FCC : 6 [GHz] 帯域全体を超低電力装置運用に開放
2.3.3 FCC OET : 送信モジュール機器、送信モジュールを組み込んだ機器の機器認証に関するKDB 更新
2.3.4 FCC OET : ワイヤレスマイクの装置認可に関するガイダンスを更新
2.3.5 FCC : ワイヤレス携帯端末のHAC装置認可に関するガイダンスを更新
2.3.6 FCC : 24 [GHz] 帯の放射制限を変更
2.3.7 カナダ ISED : 768-776 MHz帯域で運用する陸上移動無線サービスの技術要求事項を規定した提案規格を公開
2.3.8 カナダ ISED : SAR適合性評価に関する提案規格を公開
2.4 アジアおよびその他
2.4.1 中国 CQC : 電子製品および部品に適用する認証規則を更新公開
2.4.2 中国 : 中国国家標準公告2024第29 33号を公開
2.4.3 韓国 RRA : 情報通信分野の国家標準を告示
2.4.4 韓国 KSC : EMCおよび安全関連規格の発行
2.4.5 韓国 RRA : 電磁波適合性試験方法の改訂通知
2.5 国内
2.5.1 総務省 : 2023年世界無線通信会議( WRC-23 ) における 無線通信規則の改正に基づく改正
2.5.2 総務省 : 2.5 [GHz] 帯電波ビーコンの廃止に伴う制度整備に関する省令案答申
2.5.3 総務省 : 6 [GHz] – 10 [GHz] における吸収電力密度の測定方法として一部答申
2.5.4 総務省 : 搬送ロボット用ワイヤレス電力伝送システムの導入等のための制度整備についての答申
2.5.5 経済産業省 : 次世代型太陽電池の導入拡大及び産業競争力強化に向けた官民協議会
2.5.6 総務省 : 周波数再編アクションプラン( 令和6年度版 ) の公表
2.5.7 経済産業省 : 電気用品の技術上の基準を定める省令の解釈についての一部を改正する通達(案)に対する意見募集
2.5.8 総務省 : 5 GHz帯無線LANの上空利用に係る技術的条件の答申
2.5.9 総務省 : 第5世代移動通信システムの高度化に関する技術的条件の答申
2.5.10 総務省 : FM放送用周波数帯の上限を99.0 MHzに引き上げるため、無線設備規則及び特定無線設備の技術基準適合証明等に関する規則の一部を改正する省令案
2.5.11 総務省 : 433 MHz帯タイヤ空気圧モニタ及びリモートキーレスエントリの導入に係る制度整備
2.5.12 総務省 : MRA国際ワークショップ2025の開催
3. IEC/CISPR 規格審議動向
今回は、報告すべき審議文書はありませんでした。
他
会員向け情報誌として技術情報やKECからのお知らせ等を掲載しています。
年4回発行し、発行から1年間はどなたでもウェブサイトにて閲覧していただけます。
それ以前のバックナンバーはKEC会員ページにて閲覧可能です。
※PDFが開かない場合はこちらをご参照の上、再度ご確認ください。
試験事業部のメンバーが、EMC・製品安全試験の様々な問題点や注意点、各種情報を定期的に更新します。
発行から1年間はどなたでもウェブサイトにて閲覧していただけます。
それ以前のバックナンバーはKEC会員ページにて閲覧可能です。
どちらの規格もエミッション測定、イミュニティ試験要求がありますが、試験時によく起こるトラブルについて考えていきます。
- EMC試験時の注意点
試験時には充電状態を模擬することになりますが、車両を持ち込む必要はなく車両モデルを用いて図1のような配置をします。

動作不良事例
当センターではLISNを除き車両モデルはご利用者に準備いただいております。一番多いトラブルはこの車両モデルでの動作不良で、丸一日動かないということがよくあります。車両側プロトコル発生回路や信号系車両模擬回路については、充電器の仕様を変更せずに動作が可能であることが規格上要求されていますので、試験前に十分ご確認ください。
また、入力電源側とインレット側にLISNを接続することによる漏電検出エラーもよく発生します。雷サージのCDNを接続する際も同様です。急速充電器の漏電検出閾値を変更していただくことがほとんどですが、ファームウェアの設定を変更いただく必要がありますので、事前に変更できるよう準備いただけると試験がスムーズに進みます。
抵抗負荷のトラブル
試験動作では最大定格の80%で運転する必要があります。例えば50kW DC450Vの装置の場合、40kW90A程度を抵抗負荷で消費させることになります。こちらもご利用者に準備いただきますが、何点か注意が必要になってきます。まずは熱の問題です。40kWのような抵抗負荷ではどうしても熱が発生してきます。試験時のレイアウトやノイズ影響低減のために暗室外に配置されることが多くなりますが、地下ピットは冷房設備があることが稀ですので発熱量が多い場合は、ターンテーブル上に配置せざる負えない場合があります。次の問題は抵抗負荷に起因するノイズ影響です。負荷として電子負荷を利用される場合、電子負荷自体から放射されるノイズが発生します。また暗室外に配置できた場合でもDC線を伝って放射されるノイズ影響も考えられます。
エミッション測定時のノイズ影響
抵抗負荷のトラブルで軽く触れましたがノイズ影響もよくトラブルになります。ご用意いただく車両モデルは測定対象ではありませんので、ノイズが発生しないのが望ましいです。規格上必要に応じてシールドすることは許されるのですが、排熱部分や発熱する抵抗負荷はシールド布やシールドBOXで覆うのも限界が出てきます。信号系やDCラインでのフィルタ使用は可能ですので、暗室外に配置した上でフィルタを使用するのが放射ノイズを除去する最適な配置になってきます。ただし、伝導エミッションではDCラインに挿入したフィルタとLISNの共振よって過剰なノイズが観測される場合があります。トランスレスGCPCのAMNとDC-ANを使用した測定前提ではありますがCISPR 11 Ed.7.0 (2024) Annex Eにフィルタ影響のガイダンス記載がありますので参考にされてみてもいいかと思います。
情報機器や家電製品に無線LANやBluetoothが搭載されるのが一般的になり、筆者が毎朝使用している血圧計などの医療機器や産業機器にもデータ通信や装置の情報をリアルタイムに蓄積するために無線装置が組み込まれるのも普通になってきました。
適用する規格にもよりますが、CISPR国際規格では無線装置からの送信電波と試験品から発射されるノイズが無線装置のミキサに入力され混変調によって妨害ノイズがバラまかれるという事実があるということらしく、無線装置を動作させた状態で放射エミッションを測定するという、面倒で手間な状況になっています。
- 帯域除去フィルタを使うのは良い手段
以前のよもやま話で述べた通り、無線装置が発射する電波の周波数帯域付近を除去する帯域除去フィルタを用いる手段は非常に良いです。ただ周波数帯域ごとに購入する必要があります。
- 他の手段として
1 GHz超の放射エミッション測定では、実際の測定で使用するアンテナでサイト評価が行われているので、アンテナを変更しても問題ないのかどうかは別として、標準ゲインホーンアンテナを用いると無線装置から発射される電波を気にすることなく測定を行うことができます。図の例は3.95 GHz~5.8 GHzの周波数帯域で使用可能な標準ゲインホーンアンテナの特性を示しています。図からわかるように2.4 GHz帯域は50 dB以上の減衰が見込めるので帯域除去フィルタを使用することなく3.95 GHz以上の周波数を測定することができます。
ただ欠点として3.95 GHzまでは測定に使用出来ないので、無線装置から発射される高調波測定以外には使いにくいです。
- アンテナで何故周波数がカットできるのか
何故周波数がカットできるのかに興味を持たれた方がおられたら、続けて読んでください。そもそもホーンアンテナは、雑な言い方ですがホーンの部分は導波管を広げたものと、同軸ケーブルと導波管を接続するための変換器から構成されています。
iNARTE EMCエンジニアや陸上無線の資格を有していらっしゃる方の中には、この時点で「なるほど」と思われる方もいらっしゃるでしょう。
そうです、導波管の特性を利用しています。
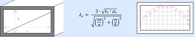
ここからの内容はiNARTEの試験にも出題されるかもしれませんが、導波管は荒っぽい表現ですが、一種のハイパスフィルタとして動作します。物理的な詳細はGoogleに頼っていただいて、導波管の内部の長寸と短寸を図の様に定義すると、導波管内のカットオフ周波数の波長は次の式で表されます。

導波管における基本伝送モードはTE10なので、m=1, n=0となり、真空中ではカットオフ周波数の波長は単純化され、この波長となる周波数以上しか導波管内を伝送することができないことになります。これがアンテナで周波数をカットする原理です。

おそらく一般的なEMC試験では導波管を用いることなどないため、こんな知識は不要だと思った方が多いと思います。
でも今回のように、ひょんと現れたりします。
EMC試験やCEマーク認証のときによく出てくる「EMC規格」という言葉。
「この製品がEMC規格に適合しているかを確認したいけれど、必要な試験規格はなんだろう?」と聞かれて、調べた方がわからず困ったことがある人も多いはずです。
今回はそんな「EMC規格の調べ方」と「IEC規格とEN規格の違い」というテーマで、できるだけわかりやすく解説します!
- EMC規格
国際規格は下図に示すような構成および階層となっています。
基本規格、共通規格、製品群規格、製品規格によって構成されており、適用する規格を選択する際は、上位になるほど適用の優先順位が高くなります。

- IEC規格って?
IEC(国際電気標準会議)にて決められた国際標準規格です。
EMCの測定方法や許容値などの国際規格はIECの委員会によって作成・発行されており、多くの国が参照しています。
基本規格
EMC試験のための原理や方法論、測定手順を規定した規格です。
試験方法や測定機器、試験条件などの基本となる技術的事項が記載されています。
代表例:
IEC 61000-4シリーズ(例:IEC 61000-4-3 放射無線周波電磁界イミュニティ試験)
CISPR 16シリーズ(測定機器と測定方法)
共通規格
家庭、産業など特定の使用環境を対象としたEMC要求事項を定めた規格です。
製品群規格や製品規格が存在しない場合に適用されます。
代表例:
IEC 61000-6-1(住宅、商業及び軽工業環境におけるイミュニティ規格)
IEC 61000-6-3(住宅、商業及び軽工業環境におけるエミッション規格)
製品群規格
特定の製品群(情報機器、ISM機器、医療機器など)に適用されるEMC要求事項を規定した規格です。
試験項目や試験レベル、動作条件、配置条件などの要件事項が記載されています。
共通規格よりも優先的に適用されます。
代表例:
CISPR 32(マルチメディア機器のエミッション規格)
CISPR 11(工業,科学及び医療用装置からの妨害波の許容値及び測定法の規格)
製品規格
特定の製品個別に対してEMC要件を規定した規格です。
製品に固有の使用条件、構造、環境などを考慮した試験項目や試験レベル、動作条件、配置条件など、より具体的な要件事項が記載されています。
この規格が対象となる製品の場合は最優先で適用されます。
代表例:
IEC 62920(太陽光発電システム)
IEC 62236-3-2(鉄道車両機器)
[IEC規格の調べ方]
試験規格が決まると、「さっそく対象の規格資料を確認しよう!」となるかと思いますが、まずは有効な規格年号について確認する必要があります。
IEC規格は、以下のサイトより検索可能です。
詳細は有料ですが、現行の年号の確認や概要は無料で見ることができます。
IECの公式サイト → https://www.iec.ch/
例:規格番号(IEC 61000-6-2)で検索!

- EN規格って?
EN規格とは、EU加盟国で共通して利用できる統一規格です。
IECの規格をベースにして、EU指令に合うように修正されています。
例)IEC 61000-6-2 → EN 61000-6-2
EN版では参照規格がEN規格となっており年号の指定があります。(最新版ではない時も!)
[EN規格の調べ方]
CENELEC(欧州電気標準化委員会)の公式サイト → https://www.cenelec.eu/
例:規格番号(EN 61000-6-2)で検索!

[CEマーキングを取得する場合]
欧州官報(Official Journal)よりEMC指令と整合規格(Harmonised Standards)を確認!
リンク先:Harmonised Standards – European Commission

- IECとENの違いをざっくりまとめ
| 国際機関(IEC) | 欧州の委員会(CENELEC) | |
|---|---|---|
| 範 囲 | 世界中の共通ルール | 欧州での製品販売のためのルール |
| 内 容 | 国際標準規格 | IEC規格をEU指令に合うように修正 |
| 用 途 | 基本的な設計や評価 | CEマーキング、輸出時の適合証明など |
| ウェブサイト | https://www.iec.ch/ | https://www.cenelec.eu/ |
| 備 考 | CISPR規格も取り扱う | EU整合規格リスト 欧州官報(Official Journal)EMC指令の整合規格 |
- 規格を調べるときのコツ
IEC規格を見て、どんな試験が必要か把握!
欧州向けなら、対応するEN規格を確認!
CEマーキングが必要なら、整合規格を確認!
- まとめ
EMC規格は、全体像が分かりにくいですが、「基本はIEC、欧州版がEN」など構造が分かればスッキリします。
固定減衰器(以下、アッテネータ)は、信号レベルの調整や測定器の保護、インピーダンスマッチング、反射防止など、あらゆる測定現場で活躍する重要な電子部品です。使い方次第で非常に便利で、まさに「万能ツール」と言える存在かもしれません。
ただし、どんなに便利な部品であっても、使い方を誤れば測定ミスや部品の特性の劣化や故障につながるリスクがあります。
過去のよもやま話(更新日:2022.02.01、2025.06.02)でも触れましたが、特に測定に慣れてきた頃にありがちなうっかりミスは、思わぬトラブルの原因になりがちです。
今回は、EMC測定の現場でありがちなアッテネータ使用時のあるあるについて、改めて整理してみましょう。
- アッテネータの「周波数範囲」に注意
- 許容電力の超過は厳禁
- 単方向?双方向?の確認を忘れずに
- 減衰量は常に一定ではない
アッテネータには、当然ながら使用可能な周波数範囲が定められています。
ところが、使用時に、減衰量だけ確認して周波数範囲を見落とすケースがあります。
周波数範囲外で使ってしまうと、VSWRや挿入損失などの性能が大きく劣化し、正確な測定結果が得られなくなります(図参照)。特に、特性の変化がわずかな場合には、見た目では異常に気づきにくく、そのまま測定を進めてしまうことも・・・。
そうなると、一見正しく測定できているように見えても、実際には測定ミスをしているので、非常に危険です。こうした測定ミスは、結果の信頼性を大きく損なう原因になります。特に、測定の再現性や精度が求められる場面では、アッテネータの周波数範囲を正しく守ることが、測定品質を保つうえでの基本です。周波数範囲の確認を徹底することを、改めて意識しておきましょう。

アッテネータには、平均入力電力とピーク入力電力の2つの許容値が設定されています。
これを超えると、発熱や損傷、さらには焼損につながる可能性があります。
注意が必要なのは、周囲温度が高くなる環境です。平均入力電力の許容値は、温度が上がるにつれて直線的に低下するため、以前は問題なかった条件でも、環境が違えばオーバーパワーになる場合があります。
使用前には、必ず定格と環境条件をしっかりと確認しましょう。
アッテネータには、双方向で使用可能なものと単方向のみ使用可能なものがあります。
双方向タイプであれば、入力・出力ポートどちらにも最大定格電力を印加できますが、単方向タイプでは指定されたポートからのみ入力可能です。
誤って使ってしまうと、特性の劣化や故障につながることがあるため、使用時にはしっかりと確認しましょう。
意外と見落とされがちなのが、減衰量の変動です。
アッテネータの減衰量は、周囲温度や入力電力の変化によってわずかに変動します。
たかが数dBと思うかもしれませんが、試験結果にかかわる場面では、この差が合否判定を左右する可能性もあります。
いつも通りのつもりでも、条件が変われば結果も変わる。これを常に意識しておくことが大切です。
アッテネータの「万能さ」は使いこなしてこそ。
アッテネータは確かに便利で、測定環境における心強い味方です。
しかし、万能に見える道具ほど、基本的な使い方の確認を怠らないことが大切です。
周波数範囲・許容電力・方向性・減衰量の変化、こうした仕様や環境条件を意識して、正しく、安全に使うことが、測定の信頼性を高め、トラブルを防ぐ最良の方法です。
CISPR SC-D/WG2の会議が2025年6月9日~11日(ボックスボロー:アメリカ)、TÜV Rheinlandにて開催されました。
今回はCISPR 25の概要と最新審議動向について紹介します。

1. 規格概要
車載部品におけるエミッション測定を規定している規格がCISPR 25です。
CISPR 25は車内に搭載された受信機の保護が対象であり、最新版は2021年に発行された第5版となります。
規格内で車載部品を規定している試験項目は以下の4項目になります。

2. 審議動向
現在は第5版に対するアメンドメント発行及び次版に反映させる内容の議論を進めている状況です。
CISPR 25はスタビリティ期間になりますが、期間が2026年から2025年に変更されました。次回以降、議論の活性化が予想されます。
- アメンドメント対応
・電流法、ALSE法及びストリップライン法における、120MHz帯域幅測定における限度値の見直し
一部のバンドで緩和予定
・SAE ARP958の年度更新
- 次版対応
・附属書I 暗室検証周波数の拡張 上限周波数6GHzまで拡張予定
・電流法、ALSE法及びストリップライン法における、1MHz帯域幅測定における限度値の見直し
・不確かさの要素の見直し
・HV-AN(高電圧擬似回路網)の回路定数見直し
・60cmループ法の検討(CISPR 25またはCISPR 36に入れ込むかをCISPR Dにて検討)
審議内容については今後の審議にて変更になる可能性がありますので、ご注意ください。
過去のよもやま話で固定減衰器について説明し、焼損や落下で壊れる話をしました。忘れたころに繰り返される事故に怒りと教育不足を感じておりますが、あえて事例を紹介します。
昨年発生したのが、パワーアッテネータの焼損と落下による破損で、共に使用が困難となり買換えとなりました。廃棄することが決まれば心置きなく分解することが出来るので、毎度ながら分解して壊れ方を確認しました。
(1) 落下により破損
下の写真は落下させ破損したパワーアッテネータを中身の抵抗素子が見えるように分解した写真です。パワーアッテネータなので多段で構成されているのがわかります。右の写真が破損した箇所をズームアップした写真です。わかりにくいですが、赤丸をつけている箇所にクラックが入っています。
おそらく落下させた時の衝撃で抵抗素子にクラックがはいってしまったと考えられます。過去の説明でも減衰器を落下させた場合には必ず特性を確認する旨をお伝えしたと思いますが、まさにその状況に陥った事例です。
普段の業務においても、運搬中や移動させる際に衝撃を与えてしまう可能性はゼロではないと思います。その時には勝手な判断で大丈夫だと考えるのではなく、それこそ急いでみんなに伝え、パワーアッテネータの特性を調べるルーチンが必要になります。

(2) 焼損による破損
これも過去のよもやま話で説明したかと思いますが、大きな電力を消費させるようなパワーアッテネータは入力と出力が決まっていて、間違えると焼損します。
下の写真は焼損したパワーアッテネータで、入力と出力を間違えて接続した結果、本来は出力側ですが、そこに大きな電力がかかり焼損しています。
赤丸で囲っておりますが、抵抗体が焼けてクラックが発生しているのがわかると思います。これは流石に発生直後に気づいたものの時すでに遅し、破損したので測定も即中止となり特性確認へ直行となりました。

ケアレスミスは防止するのは難しいです。再発防止の応急処置・恒久処置はISO/IEC 17025不適合業務で処理はされていきますが、試験の中断など費用も経費も発生してしまいます。怒りの気持ちを抑え、あえて資料に残し教育して再発防止に取組むのですが、本当に恒久的に事故防止を心がけていただきたい次第です。
放射エミッション測定では、無線機能を動作させた状態で最大エミッションを測定する必要があり、放射エミッションの測定上限周波数は試験品内部で使用している最高周波数(Fx)によって決定されます。
以下の表はマルチメディア規格であるCISPR 32での要求となり、内部最高周波数はWi-FiやBluetoothなどの無線周波数も含まれるため、Wi-Fi搭載機器の場合は6GHzまでの測定が要求されます。
- 無線搭載機器の場合、1GHz超の測定は大丈夫?
Wi-Fiであれば約30mW (15dBm)、Bluetoothであればクラス2機器で約2.5mW (4dBm) となり、非常に強い電波を意図的に放射しています。放射エミッション測定ではプリアンプを使用して測定を行いますが、強い信号がプリアンプに入力されると過入力となり、プリアンプが飽和してしまい正しく測定できないことが考えられます。最悪の場合、測定系を破損させることも考えられます。
以下の図は、2.4GHz Wi-Fiを搭載した機器で1-6GHzを測定した時のスペクトラムとなります。
2.4GHzで非常に強い電波を出しており、4.8GHz付近に高調波歪が発生し、プリアンプが飽和している状態となります。この状態では正しく測定できません。

- 正しくエミッションを測定するにはどうすればいい?
正しく測定するためには、プリアンプに入力される2.4GHzの基本波レベルを減衰させる必要があります。入力信号を減衰させるためには固定減衰器(アッテネータ)を使用する方法もありますが、固定減衰器の場合は測定すべきエミッションレベルも減衰してしまい、測定感度が取れなくなってしまいます。固定減衰器の代わりに、基本波の帯域のみをカットするバンドストップフィルタを挿入することにより、測定感度を劣化させることなく正しく測定することができます。
以下のグラフは2.4GHzをカットするバンドストップフィルタの挿入損失となり、2.4GHz帯で約50dBの減衰があります。

以下の図のようにプリアンプの入力段にバンドストップフィルタを挿入することにより、基本波の入力を減衰させ、プリアンプの飽和が改善します。

ただ、バンドストップフィルタを挿入すれば測定は完璧というわけではありません。
フィルタで減衰する周波数帯に測定すべきエミッションが出ていた場合、測定すべきエミッションも減衰してしまい取りこぼし(測定ミス)につながります。
以下はバンドストップフィルタの2.4GHz付近の挿入損失のグラフとなりますが、例えば2370MHzでクロックなどの測定すべきエミッションが出ていた場合、フィルタの減衰が30dBあり測定すべきエミッションも減衰してしまい測定ができません。

では、どうすればいいのか。例えばWi-Fiを止めた状態で確認したり、2.4GHz帯と5GHz帯を切り替えしたりできるのであれば、まずは2.4GHzで電波を出し2.4GHz帯バンドストップフィルタを挿入し、全帯域を測定する、次に5GHz帯に変更して5GHz帯バンドストップフィルタを挿入して測定できなかった2.4GHz付近を測定するなど2回に分けて測定を行う必要もでてきます。測定に関してまだまだ注意点はありますが、無線搭載機器のエミッション測定は奥が深く非常に難しいです。
写真は長野県伊那在住のマニアックなアマチュア無線家と筆者が遊んでいる、アマチュア無線のアンテナと無線機です。
アンテナは3エレの7MHz/10MHzの八木・宇田アンテナで写真では小さく見えますが、長さは20m近くありとても大きなアンテナです。このアンテナに公称1kWの電力でドライブし、遠方の方と通信するのがアマチュア無線の醍醐味で楽しみでもあります。
条件がよければ500W程度でロシア領からフランス、アメリカ西海岸の方々と通信を行うことができます。8000km以上離れた方々と瞬時に無線の共通語(モールス信号)で通信できるのは面白いと思いませんか?

さすがに8000kmも離れると発射した電波はとても小さな信号となります。-80dBmから-90dBm(だいたい乾電池の電圧の10万分の1以下)の非常に小さな信号でやりとりを行います。ここで重要となるのが、電気・電子機器から発生する不要な電波となります。これらの不要な電磁波が多いと、小さな信号をとらえることが出来ず通信ができなくなります。
これは皆様が使用している携帯電話やテレビやラジオにも言えることで、使いたいときに使えない状況だと非常に困るわけです。そのような状況にならないよう各国が世界共通で妨害電波のレベルを規制しています。
目に見えない電磁波を測定するのは難しいです。それを正確無比に測定し評価しているのがEMC試験エンジニアです。 非常に地味で一般的ではなく、表にでることは殆どないですが、EMC試験は重要であるとの認識を持っていただければ幸いです。
- 電波暗室の評価
放射エミッションで使用する電波暗室やオープンサイトは、規格で規定された特性を満足しなければならないという話を過去に掲載したと思います。民生機器のエミッション測定では表に示すとおり測定場の評価だけでも結構な時間がとられていますが、自動車に搭載される電気・電子機器のエミッション測定でもCISPR 25 Informative Annexにロングワイヤーを用いた電波暗室の特製評価方法と基準値が掲載されるようになり、ISO/IEC 17025の認定を取得している試験所は測定場の検証として実施しなければならない面倒な仕事が増えたかと思います。
今回はロングワイヤー法を用いた電波暗室の特性評価が導入される前に行った実験で得られた、面白い失敗談を述べます。
- 使用する固定減衰器で結果が変化する
ロングワイヤーを用いた電波暗室の特性評価の良し悪しについては触れません。今から12年以上前、当センターのEMC研究会での実験中の出来事です。そもそもの発端は高周波を扱っている認識が甘かっただけなのですが、この評価方法ではロングワイヤーという治具を送信源として使用するのですが、50Ω終端するようになっています。その50Ω終端の形状が異なると評価結果まで変化する。もちろん50Ω終端としては評価周波数範囲においてVSWRが1.05未満の特性が良いものですが、写真のように4種類で評価を行うと4種類の結果が現れる現状が発生しました。

NULL点や共振周波数付近では、使用した終端器の大きさ、長さなどの寸法も評価結果に影響する。このことからも今回実施した暗室評価結果が何を評価しているのか判らなくなるため、治具自身に終端抵抗を組込む構造を標準化する必要があるのでは。と偉そうにまとめていました。しかも特に標準化活動にデータを提出することもなく。
- またもや老婆心ながら
ネットワークアナライザを使いこなしている方ならば当然だろと言われる内容ですが、そもそも50Ωではないロングワイヤーに50Ωの終端器といえども位相長を持っていて正規化されていないのですから、NULL点や共振周波数が異なるのも当然の話で、冷静になって考えれば終端器を変更して評価を行うような無謀とも言える実験は行わなかったでしょう。ただ、この実験で得られた失敗談も冷静に考えれば良いデータで、この評価には絶対に同じ終端器を使用しないと駄目だと分かったことが重要だなと思います。実際に、この評価方法を運用している試験所は多いと思います。ただ終端器のサイズまでは規格化されていないので、実運用上どうなっているのかは気がかりですが。
たぶん大丈夫とか、いけるんじゃないと言う安易な考えはEMCに関する内容では採用しないほうが良さそうです。30代前半に佐藤利三郎先生から「本当に測定したことがあるのか」と言われたことが思い起こされます。効率化が追及されますが、こんな失敗でも活かすことが出来れば最終的には効率化や高品質につながるのですから、無駄ではなかったようです。
すこし真面目な文書で書き始めてみる。
DC パルス波をスペクトラムアナライザで観測する場合の応答について考えてみる。
まず基本的な説明の前に、注意すべき事項を述べておく。パルス波をスペクトラムアナライザで測定する場合、測定器の許容入力レベルがいくらであるかを考えておかなければならない。例えば、図に示す様なDC パルスを測定する場合、ピーク電圧が1Vだとすると、測定器の入力インピーダンスを50Ωとすると、

のピーク電力が測定器に印加されることになる。したがってスペクトラムアナライザがこのピーク入力電力に対して損傷せず、かつ正常に動作するかを考える必要がある。
ここで、スペクトラムアナライザの回路構成は概略、右図のようになっている。通常のスペクトラムアナライザにおいて、ミキサ(測定信号と掃引局部発信器の信号を混合する部位)の耐電力は+13dBm(20mW)程度であり、入力信号の大きさに正確に比例して動作する入力レベル範囲(直線性領域と言う)となると、この値は-10dBm程度に低下する。したがって、測定器の入力減衰器を0dBの状態で、この測定を実施すれば高価なスペクトラムアナライザが損傷を受ける、または過入力による利得圧縮や非直線性歪みの発生などにより、正確な測定ができない状態になってしまう。上の場合、少なくとも測定器の入力減衰器を30dB (+13dBm – 30 = -17dBm)入れた状態で観測する必要がある。さらに電圧値の大きいパルスを観測する場合には、この入力減衰器の耐電力にも注意する必要が出てくる。通常、スペクトラムアナライザ等の高周波測定器に備えられている入力減衰器の耐電力は+30dBm(1W)程度である。
パルス波を計測する場合の注意事項
- ミキサーの許容入力レベルは+13dBm程度
- 直線性動作入力レベルは-10dBm程度
- 入力減衰器の耐電力は+30dBm程度
例えばd=0.1μsec、T=10μsecのDCパルスだと100kHz周期で平坦部分は1Vemfに対して20dB減衰したスペクトラムを観測することができます。
極端な例でd=0.001μsec、T=10μsecのDCパルスだと、80dB減衰するのですが、レベルが小さいからプリアンプを入れて測定しようとすると、スペクトラム1本の波高値は小さくても1Vemfが入力されているので、気づかぬうちにプリアンプが飽和していたってことになって測定ミスとなってしまいます。
実際のエミッション測定で、こんなノイズが発生していると嫌ですね!!最新のテストレシーバーだと、「OVER LOAD」と表示してくれるそうなので値段が高いのも納得します。
- EMC研究会での実験をはじめる
第1命題は「いま持っている3mないし10m電波暗室の特性がオープンサイトと比較した結果、将来的に使用できるのかどうか」でした。改造・新築となれば大きな費用が発生する、これはさすがにダメージが大きすぎる。少なくとも将来的に3mで測定を行う微弱無線機ぐらいは自らの設備で測定したい。これが本音でした。その弐で記載したオープンサイトでの様々な実験は2日間で計画しましたが、翌日の午後からの天候が雨とのことで実験は21時ごろまで続きました。いまのご時世だと完全なNGですが参加メンバーのエンジニアは誰一人文句を言うこともなく、むしろ笑顔で楽しんでいました。終了後にビールを酌み交わし技術談義に熱中したのもよき思い出です。
基準データ取得にも紆余曲折はありましたが3m電波暗室でも3m法であれば、オープンサイトと比較して+/-4dBにははいることが判り若干安心しました。
送信アンテナを固定し受信アンテナを高さ方向にスキャンさせた場合のハイトパターンの有無や、グラウンドループが発生する条件などオープンサイトとの相関性だけでなく多くのデータや知見が得られました。EMC研究会メンバーで精査したそのデータや資料は有効に活用されていることと思います。
その後、NiCT様の持ち回り試験が開始され、パナソニック様の篠山30m法オープンサイトでEMC研究会メンバーと基本的な扱いやデータを取得した後、各メンバーの暗室でデータを取得し実験に協力しました。
篠山30mオープンサイトでも送受信アンテナ間にアンテナマストがあるとどの程度偏差が生じるのか、あえて金属基準面のエッジ付近に配置した場合、伝搬特性に偏差が生じるのかなど、有効に時間と設備を活用し楽しみながら実験を行いました。
さらに照明器具やIH機器を測定する際に使用するLLASを縮小して、3軸60cmパッシブループアンテナをJSE様のご協力で開発し実用できるのかなども検討しました。また、研究会メンバーから出てくる実験内容やアイデアに費用面などを調整しながら対応していきました。

- 国際規格への提案
第2命題は「Z軸測定は面倒だ。X, Y軸の2軸で完結することは出来ないのか。」ということで、実機を用いたZ軸不要論をなんとか正当化するための実験を、30MHz以下WG(法人改革で社団法人から一般社団法人に変更となり組織・名称変更 旧EMC研究会)で行いました。実験には、当時CISPR SC-I/AのエキスパートであったP社のH氏を巻き込み、筆者自身もSC-AのエキスパートになりZ軸不要論を2015年のストレーザ(イタリア)から2年にわたり展開し、CISPR 16-2-3 1st CDではZ軸を削除することに成功、ドイツからも賛同が得られ喜んでいました。しかしながらオーストリアからZ軸がX, Y軸よりも支配的になるデータが示され、2nd CDでは覆され3軸での測定が標準化された次第です。

これに反論するために12月末の寒い時期にパナソニック様の篠山30m法オープンサイトを借用し、TテクニカのN氏、一般財団法人TのM氏とデータを取得しようと実験を試みました。しかしながら確かに条件によってはZ軸が最も支配的になる条件があったため、オーストリアが実測した結果は真であると認め、反論は諦めて若干落ち込んだ年末年始を迎えました。
今考えると実験・実測だけを行い、シミュレーションでの検証は行わず進めたのが敗因でしょうか。また、国内外にもっと協力いただける仲間をつくれなかったことでしょうか(参考までに筆者は外国語を好きではないので仕方ないですが)。
ただ、これらの活動で多くの知見と、困った時に助けてくれる仲間をたくさん得ることができました。筆者にとってそれらは大きな財産です。
また実験でグラウンドループを見過ごし、翌日の実験計画を見直した際に時間的に余裕があると判断し、実験メンバー数人で飲みに出かけ、翌日、若干二日酔いの頭で、距離減衰していないという最も基本的な内容からグラウンドループに気づき、主査であったK大学のW先生や諸先輩方に大目玉をくらったこともよき思いででもあり、発生原因を大いに反省しながら検証できたのは、現在もKEC内部でも活かされ継承できているので、結果的にはよかったのではないでしょうか。
最後は馬鹿話になりましたが、これで30MHz以下の測定に関する逸話を終えたいと思います。
当時のEMC研究会、WGの皆様に協力いただいたことに、あらためて感謝いたします。
- 30MHz以下の測定がCISPRで議論はじまる
時は流れ、「30MHz以下の測定方法と測定場の検討が国際会議で行われるらしい」との情報が入り、当センターの当時のEMC研究会で検討しようとの意見があり、ドラフト文書を読み始めました。
ほのぼのとしたオープンサイトでの測定経験が殆どでしたので、金属面で覆われたサイトで測定を行うことを知ったのは衝撃的でした。しかも10m距離で!! 30MHzからの放射でミッションでも20m×17mの金属面が必要なのに、金属面の広さはどれぐらい必要なのかと考えていましたが、そこには特に触れられておらず、ざっくりと読むと大まかには下記の通りでした。
・受信ループアンテナはX, Y, Z軸の3軸で測定を行う
・受信アンテナの地上高さはループの中心が基準面から1.3m、高さ掃引は行わない
・測定距離はEUTボリュームに応じた3, 5, 10m
・基準となる金属面の材質とその厚み
・受信ループアンテナの校正方法/測定場の検証方法と基準値は検討中
当時のEMC研究会で意見が様々出ましたが、本音トークを含むと雑談のように聞こえますが、
・3軸での測定は面倒だけど本当に必要? 本当に高さ方向はいらない?
・どの距離で測定しても周波数からすると所詮近傍界なので、3m法だけでいいのでは?
・テストサイトの金属面材質と厚み、表皮効果を気にしている? 暗室で使用されている材質と厚みを調べてみないと!
などEMC研究会の中でも、面倒なことを決めるなぁと言う意見が多かったです。とり急ぎは研究会メンバーの各企業が所有している電波暗室が30MHz以下の放射エミッション測定で使用出来ないということになると本当に大変なことになるので、“測定場の評価をまずは検証してみよう。なんと言ってもオープンサイトが基準であることは間違いない。どこかのオープンサイトで基準値取得して各電波暗室で比較しよう”と意見がまとまり、関東エリアの参加者が多かったことからインターテック様の鹿島オープンサイトを借用して実験を行うことがまとまりました。
- 当時の実験前確認事項と実施項目星取表
